最近在酝酿两篇文章,一是下楼琪公房的嘉作公,二是满池塘朝征公房的夷友公。嘉作公现在在连平上坪的知名度似乎并不高,与他在族谱中的地位极不相称。我们常用“族谱单开一页”来描述个人成就,嘉作公不是单开一页,乾隆老谱对他的记载足足用了六页纸(12面)!乙巳中秋,云茂叔给照牛排发来一篇广州仙湖街谢氏大宗祠(芝兰书室)的文章上上通,引起我的极大兴趣,该祠正好与包括嘉作公在内的上坪名流有关。
1)雍正年间广州建祠,上坪谢氏祖公概况
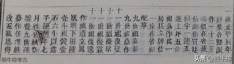
道光版《连平州上坪谢氏五修族谱》记载嘉作公时提到:“雍正甲辰年(1724年),纠集各县派作一十二房,凑价在省城仙湖街买建祠宇,一连五进,上坪五位祖公作为一房,共立牌位一座,在省祠配享——九世祖嘉蓁、嘉作,十一世祖复璧、复培、复霖、复逸。作祖遗立凤凰垇下田种一斗,租谷一石六斗,以为子孙递年七月往省秋祭盘费……”

▲连平上坪谢氏在省城仙湖街买建祠宇
1993年的上坪谢氏七修谱几乎删除了所有祖公的蒸偿田种资料,所以多数上坪人是没见过上面这段记载的,不知在300年前我们祖宗还有这么一份家业,以至于2002年广州拆除该祠时我们一无所知。上坪人在上坪修祠很常见,在连平州城修祠的不多,在省城修祠的可谓凤毛麟角,从侧面印证了一个家族的丁财实力,以下分别进行说明——
谢嘉蓁(1543-1611年),族谱吊丁图中亦作“嘉秦”,号肖松,在出生不满周岁时父亲去世,由节母卓氏抚养成人。仲玄公房瑄公派的嘉蓁公,与琪公派的嘉作公,成长经历相似,都是年少失怙,慈母都姓卓,且守节而长寿,后裔人丁兴旺。嘉蓁公,是上正继诚公、惠西继政公之父,谢复培(1601-1670年?)、谢复璧(1609-1667年)、谢复霖(1614-1679年)三公的祖父。继政公曾经协剿陈万、督建连平州城,1625年创建上坪谢氏大宗祠时曾捐银80两买田心宅场作为祠基。嘉蓁公一族自明末至今都是上坪望族,其后裔功名、德行、善举刊载于州府两志及族谱者不计其数,与连平何氏、颜氏名流也有交往和联姻。清朝康熙年间,复璧公的八个儿子曾经合伙在连平州城东门内蕃豆二街(红星二街)创建四进八房祠。
谢嘉作(1562-1653年),号养性,在出生三个月时父亲去世,由节母卓氏抚训成人。白手起家,田产众多,好善乐施上上通,建有西云山、九峰山(在流洞岽背)两所庵堂,遵母命在陈田坑修建永兴桥(隆兴桥),并舍田以作膳僧、修桥之资,《连平州志·耆寿及津梁》有相关记载。嘉作公及其母卓氏都曾多次受到时任和平知县及连平知州的旌奖赐匾,嘉作公派下还有很多乡饮冠带宾(比如谢继杨、谢继桃、谢元雯),其后裔于清朝雍正初年在广州城与其他族房合伙建祠,雍正末年在连平州城北楼买建四进祠宇。
谢复逸(1648-1720年),号达英,是仲斌公房孔茂公派裔孙,在东阳石门擎曾建有九井十八厅,也系上坪名门。康熙壬寅(1722年)重建上坪谢氏大宗祠时,谢君飏(赓言)几兄弟以父达英公之名捐银80两,并捐蒸偿田种四斗五升给大祠。
雍正年间省祠配享的六位上坪祖公(嘉蓁、嘉作、复璧、复培、复霖、复逸),当时大多都已去世几十年,并未直接参与建祠,下广州建祠的是六位祖公的后代,是复渊公派12世裔孙(比如达英公的长子谢赓言)。上坪谢氏族谱对于雍正初年在仙湖街建祠一事的记载,仅见于嘉作公的世系录,其它配享的祖公无相关记载。照牛排考古www.ZhaoNiuPai.com/KaoGu
2)乾隆年间重修广州仙湖街申伯公祠(芝兰书室)
到了乾隆四年,因仙湖街谢氏大宗祠坏烂,众议修整。上坪谢氏五修谱在记载继政公的曾孙谢皇熹(1667-1743年)时也提到此事:“字儒宗……越乾隆庚申(1740年),在羊城仙湖街督造申伯公大宗祠。待年逾古稀,挺力肩承险阻风波,两历寒暑始告成功,劳瘁千里勿辞。”

▲皇熹公在羊城仙湖街督造申伯公大宗祠
乾隆年间重修仙湖街谢氏宗祠时,每房大主出银30两,小主出银4两,如期交足银两者,该房神位将会供奉在仙湖街新祠堂的中厅。当时配享的大小神主有变化,各县大主共13房,其中连平上坪占2房。连平上坪房共有12位祖公,未见嘉作公和复霖公,“嘉泰”可能是嘉蓁之误,新增了谢继诚及其子孙(继诚公次子谢复启,复启公之孙谢皇义,复培公第三子谢呈茂,复璧公第四子谢呈瑛,复霖公长子谢呈球、第四子谢呈璞,还有一位可能记错名字的谢皇正)。

▲羊城仙湖街芝兰书室连平上坪房祖牌神主,图源:谢杰强
大主十三房,交足银两者每房还能拈阄分得新祠堂中的一间屋,此时上坪谢氏除嘉蓁、嘉作两公合房分得祠堂中栋左边一间屋外,继诚公房也分得祠堂上栋左边厢房一间,房屋由各房自行修缮。谢氏13房分别来自广东惠州府连平州、肇庆府开平县、高明县、德庆州、广州府东莞县、从化县、增城县、新宁县、新会县、恩平县、南海县金山、春江、连州、扶南望头。

▲广州城仙湖街谢氏大宗祠各房阄拾得房间,图源:谢杰强
为避免长篇大论,广州仙湖街谢氏大宗祠(芝兰书室)的简介、拆除情况,改天再说。
华泰优配提示:文章来自网络,不代表本站观点。